File:World Cultures Syllabus.JPG
From ThePlaz.com
Size of this preview: 1,024 × 1,408 pixels.
Full resolution (1,276 × 1,754 pixels, file size: 473 KB, MIME type: image/jpeg)
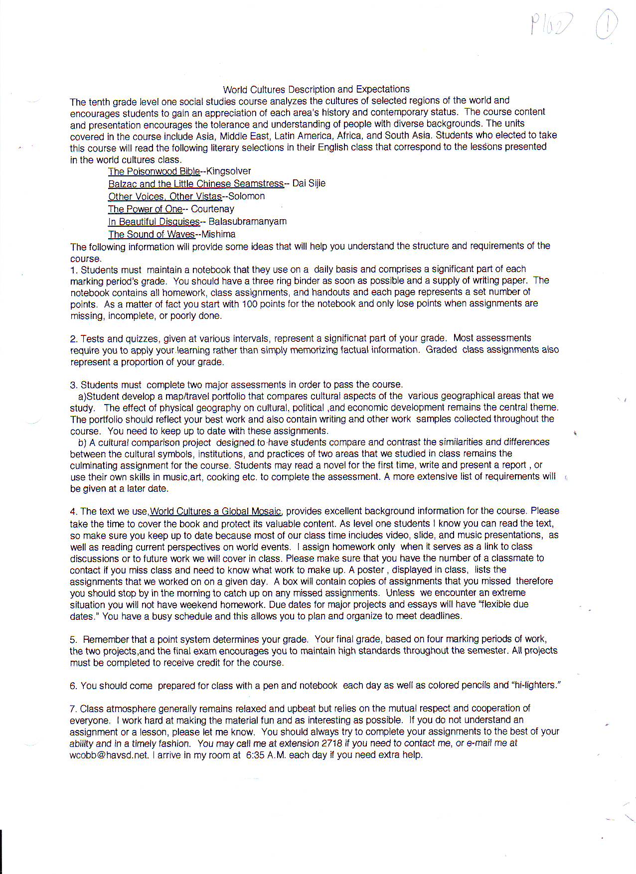
World Cultures Syllabus-Notebook Page 1
Intro/Basics - Africa - Middle East - South Asia - China - Japan - Korea - Latin America
World Cultures Daily Questions
Notebook
- Page 1 - Syllabus
- Page 2 - Notebook Grade Sheet
- Page 3 - Table of Contense
- Page 4 - Daily Questions
- Page 5 - Historiography Perspectives
- Page 6 - How to Gloss
- Page 7 - China AIDS Article
- Page 8 - "Humility, not Arrogance will help us after 9/11"
- Page 9 - 9/11 The Path Not Taken
- Page 9b - Malsow's Pyramid of Needs
- Page 10 - Circle Discussion, Page 2, Page 3
- Page 12 - Pitts Article, Page 2, Page 3, Page 4, Page 5, Page 6, Response - "Out of Date"
- Page 13 - Culture Notes
- Page 14 - Temporary Marriages
- Page 15 - Graph Assignment
- Page 17 - Pitts Article Circle Discussion, Page 2, Page 3, Page 4, Page 5, Page 6
Projects
Test/Quizes
File history
Click on a date/time to view the file as it appeared at that time.
| Date/Time | Thumbnail | Dimensions | User | Comment | |
|---|---|---|---|---|---|
| current | 00:21, 7 September 2006 | 1,276 × 1,754 (473 KB) | ThePlaz (Talk | contribs) | World Cultures Syllabus-Notebook Page 1 Category:World Cultures |
- You cannot overwrite this file.
- Edit this file using an external application (See the setup instructions for more information)
File usage
There are no pages that link to this file.


